Официальное опубликование правовых актов
ОФИЦИАЛЬНОЕ ОПУБЛИКОВАНИЕ
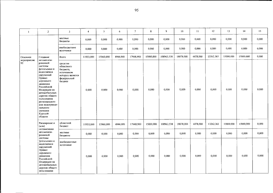
Постановление Правительства Курской области от 29.03.2023 № 369-пп
"О внесении изменений в государственную программу Курской области "Развитие транспортной системы, обеспечение перевозки пассажиров в Курской области и безопасности дорожного движения"
Номер опубликования: 4600202304040006
Дата опубликования: 04.04.2023
Страница №97 из 104:
Увеличить