Официальное опубликование правовых актов
ОФИЦИАЛЬНОЕ ОПУБЛИКОВАНИЕ
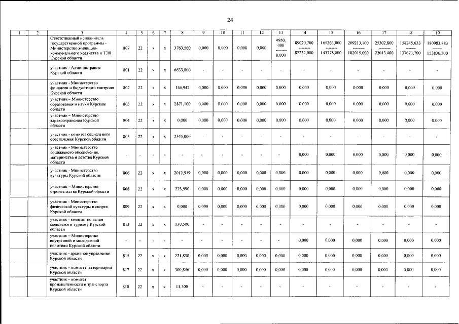
Постановление Правительства Курской области от 28.03.2023 № 358-пп
"О внесении изменений в государственную программу Курской области "Повышение энергоэффективности и развитие энергетики в Курской области"
Номер опубликования: 4600202303310017
Дата опубликования: 31.03.2023
Страница №25 из 42:
Увеличить