Официальное опубликование правовых актов
ОФИЦИАЛЬНОЕ ОПУБЛИКОВАНИЕ
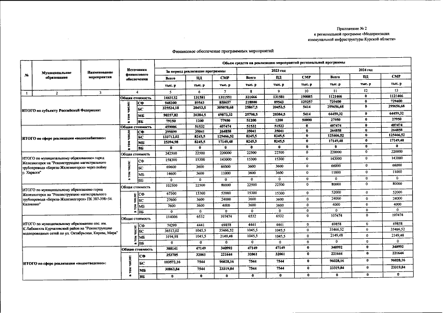
Постановление Правительства Курской области от 07.03.2023 № 274-пп
"Об утверждении региональной программы "Модернизация коммунальной инфраструктуры Курской области"
Номер опубликования: 4600202303100015
Дата опубликования: 10.03.2023
Страница №14 из 24:
Увеличить