Официальное опубликование правовых актов
ОФИЦИАЛЬНОЕ ОПУБЛИКОВАНИЕ
Постановление Администрации Курской области от 30.12.2022 № 1689-па
"О внесении изменений в постановление Администрации Курской области от 16.12.2021 № 1365-па"
Номер опубликования: 4600202301050035
Дата опубликования: 05.01.2023
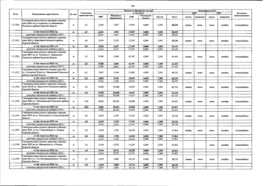
Страница №165 из 249:
Увеличить