Официальное опубликование правовых актов
ОФИЦИАЛЬНОЕ ОПУБЛИКОВАНИЕ
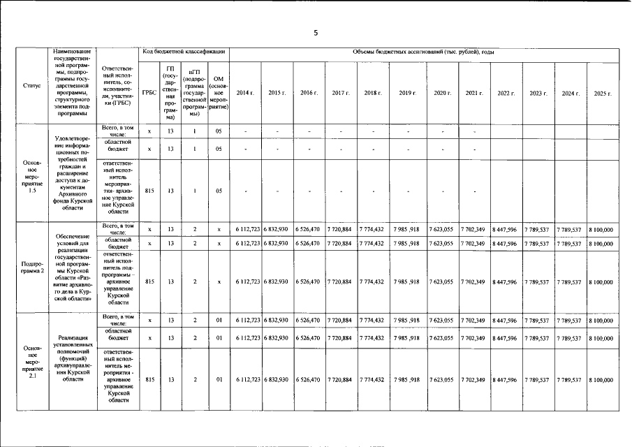
Постановление Администрации Курской области от 29.12.2022 № 1647-па
"О внесении изменений в государственную программу Курской области "Развитие архивного дела в Курской области"
Номер опубликования: 4600202212300081
Дата опубликования: 30.12.2022
Страница №6 из 21:
Увеличить