Официальное опубликование правовых актов
ОФИЦИАЛЬНОЕ ОПУБЛИКОВАНИЕ
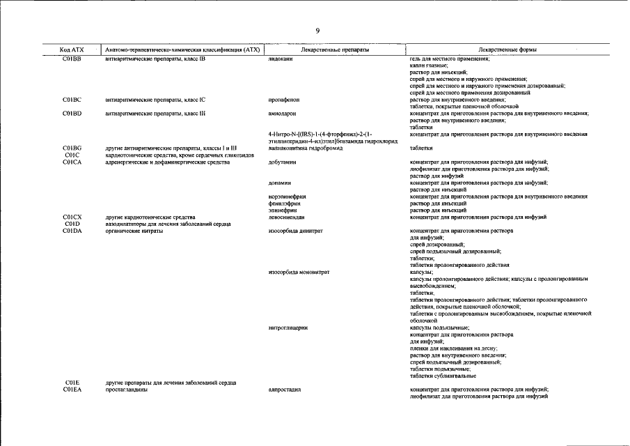
Постановление Администрации Курской области от 26.12.2022 № 1581-па
"Об утверждении территориальной программы государственных гарантий бесплатного оказания гражданам медицинской помощи в Курской области на 2023 год и на плановый период 2024 и 2025 годов"
Номер опубликования: 4600202212300009
Дата опубликования: 30.12.2022
Страница №86 из 119:
Увеличить