Официальное опубликование правовых актов
ОФИЦИАЛЬНОЕ ОПУБЛИКОВАНИЕ
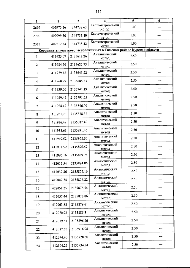
Постановление Губернатора Курской области от 20.12.2022 № 430-пг
"Об установлении охранной зоны памятника природы регионального значения "Степные балки в долине реки Хан"
Номер опубликования: 4600202212270009
Дата опубликования: 27.12.2022
Страница №116 из 153:
Увеличить