Официальное опубликование правовых актов
ОФИЦИАЛЬНОЕ ОПУБЛИКОВАНИЕ
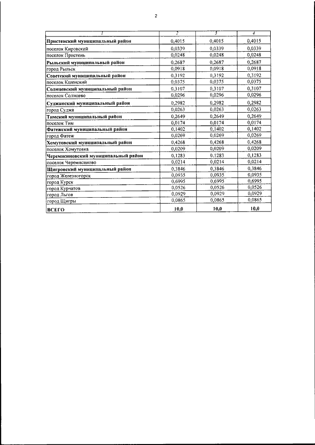
Закон Курской области от 19.12.2022 № 145-ЗКО
"Об областном бюджете на 2023 год и на плановый период 2024 и 2025 годов"
Номер опубликования: 4600202212230001
Дата опубликования: 23.12.2022
Страница №83 из 567:
Увеличить