Официальное опубликование правовых актов
ОФИЦИАЛЬНОЕ ОПУБЛИКОВАНИЕ
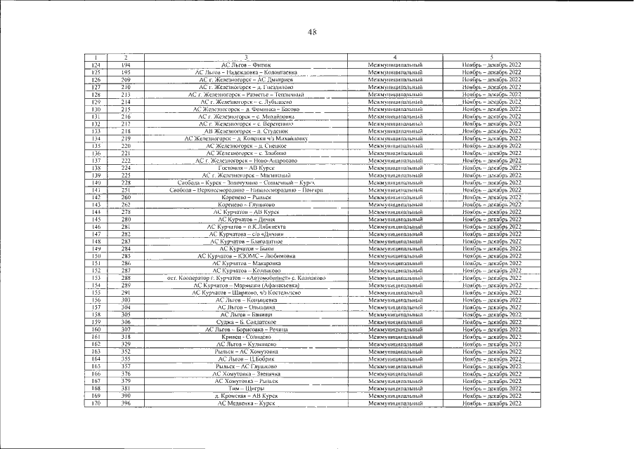
Постановление Администрации Курской области от 23.11.2022 № 1333-па
"О внесении изменений в постановление Администрации Курской области от 10.01.2022 № 4-па "Об утверждении документа планирования регулярных перевозок пассажиров и багажа по межмуниципальным маршрутам в Курской области и муниципальным маршрутам в границах городского округа "Город Курск" с 1 января 2022 года по 31 декабря 2024 года"
Номер опубликования: 4600202211300001
Дата опубликования: 30.11.2022
Страница №50 из 58:
Увеличить