Постановление Администрации Курской области от 03.11.2022 № 1249-па
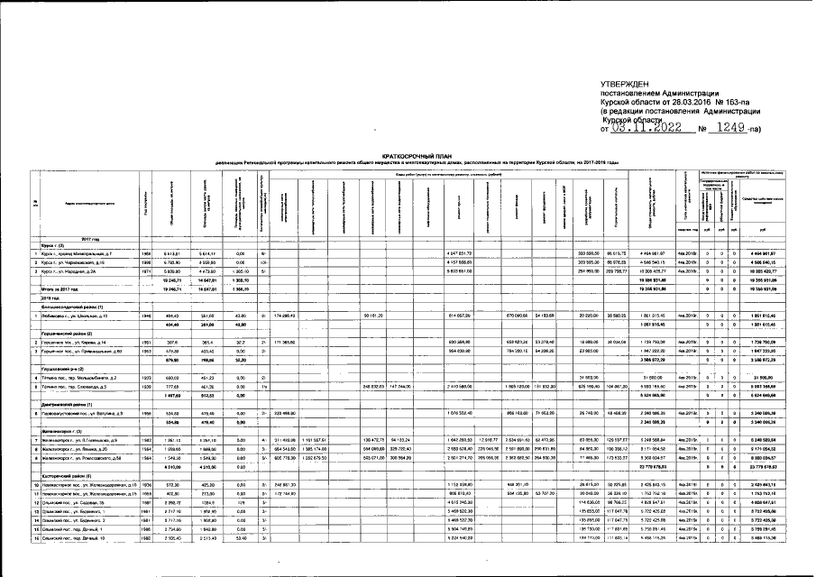
"О внесении изменений в краткосрочный план реализации Региональной программы капитального ремонта общего имущества в многоквартирных домах, расположенных на территории Курской области, на 2017 - 2019 годы"
"О внесении изменений в краткосрочный план реализации Региональной программы капитального ремонта общего имущества в многоквартирных домах, расположенных на территории Курской области, на 2017 - 2019 годы"
Номер опубликования: 4600202211070001
Дата опубликования:
07.11.2022
