Официальное опубликование правовых актов
ОФИЦИАЛЬНОЕ ОПУБЛИКОВАНИЕ
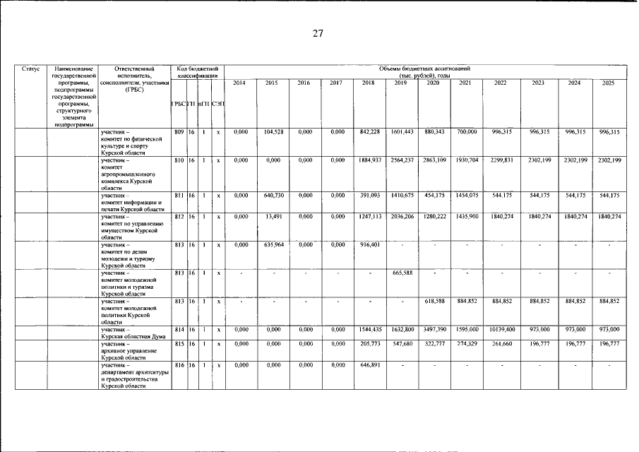
Постановление Администрации Курской области от 13.10.2022 № 1136-па
"О внесении изменений в государственную программу Курской области "Развитие информационного общества в Курской области"
Номер опубликования: 4600202210170004
Дата опубликования: 17.10.2022
Страница №28 из 59:
Увеличить