Официальное опубликование правовых актов
ОФИЦИАЛЬНОЕ ОПУБЛИКОВАНИЕ
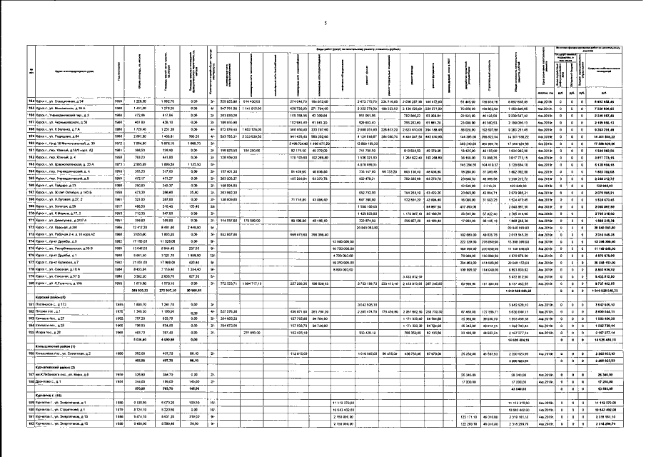
Постановление Администрации Курской области от 13.09.2022 № 1017-па
"О внесении изменений в краткосрочный план реализации Региональной программы капитального ремонта общего имущества в многоквартирных домах, расположенных на территории Курской области, на 2017 - 2019 годы"
Номер опубликования: 4600202209160022
Дата опубликования: 16.09.2022
Страница №6 из 15:
Увеличить