Официальное опубликование правовых актов
ОФИЦИАЛЬНОЕ ОПУБЛИКОВАНИЕ
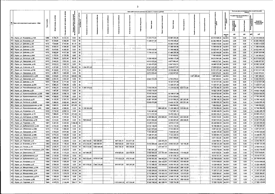
Постановление Администрации Курской области от 13.09.2022 № 1012-па
"О внесении изменений в краткосрочный план реализации Региональной программы капитального ремонта общего имущества в многоквартирных домах, расположенных на территории Курской области, на 2020 - 2022 годы"
Номер опубликования: 4600202209160008
Дата опубликования: 16.09.2022
Страница №4 из 26:
Увеличить