Официальное опубликование правовых актов
ОФИЦИАЛЬНОЕ ОПУБЛИКОВАНИЕ
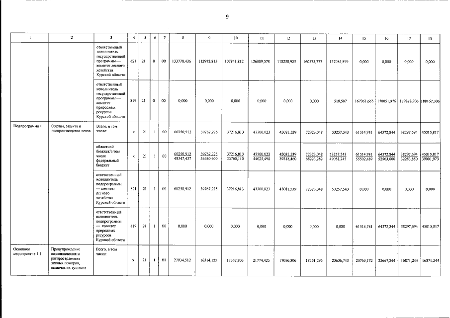
Постановление Администрации Курской области от 24.08.2022 № 940-па
"О внесении изменений в государственную программу Курской области "Развитие лесного хозяйства в Курской области"
Номер опубликования: 4600202208260008
Дата опубликования: 26.08.2022
Страница №10 из 22:
Увеличить