Официальное опубликование правовых актов
ОФИЦИАЛЬНОЕ ОПУБЛИКОВАНИЕ
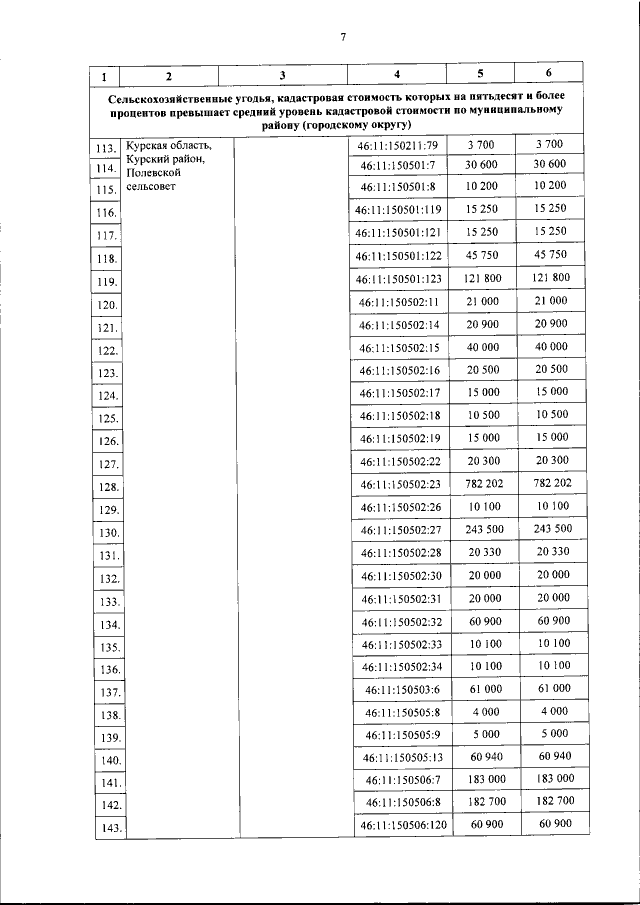
Постановление Администрации Курской области от 15.08.2022 № 890-па
"О внесении изменений в перечень особо ценных продуктивных сельскохозяйственных угодий на территории Курской области, использование которых для других целей не допускается"
Номер опубликования: 4600202208180016
Дата опубликования: 18.08.2022
Страница №8 из 39:
Увеличить