Официальное опубликование правовых актов
ОФИЦИАЛЬНОЕ ОПУБЛИКОВАНИЕ
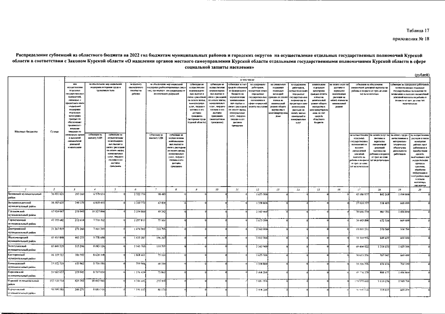
Закон Курской области от 18.07.2022 № 39-ЗКО
"О внесении изменений в Закон Курской области "Об областном бюджете на 2022 год и на плановый период 2023 и 2024 годов"
Номер опубликования: 4600202207250001
Дата опубликования: 25.07.2022
Страница №698 из 723:
Увеличить