Официальное опубликование правовых актов
ОФИЦИАЛЬНОЕ ОПУБЛИКОВАНИЕ
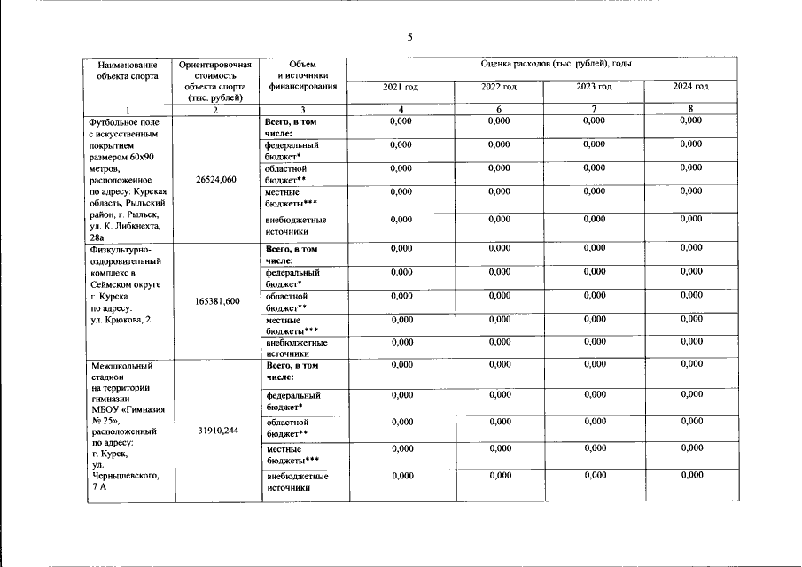
Постановление Администрации Курской области от 15.07.2022 № 804-па
"О внесении изменений в государственную программу Курской области "Развитие физической культуры и спорта в Курской области"
Номер опубликования: 4600202207210004
Дата опубликования: 21.07.2022
Страница №6 из 9:
Увеличить