Официальное опубликование правовых актов
ОФИЦИАЛЬНОЕ ОПУБЛИКОВАНИЕ
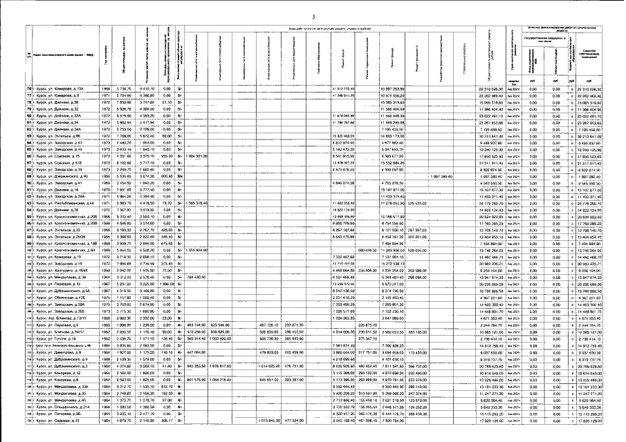
Постановление Администрации Курской области от 08.07.2022 № 766-па
"О внесении изменений в краткосрочный план реализации Региональной программы капитального ремонта общего имущества в многоквартирных домах, расположенных на территории Курской области, на 2020-2022 годы"
Номер опубликования: 4600202207140010
Дата опубликования: 14.07.2022
Страница №4 из 26:
Увеличить