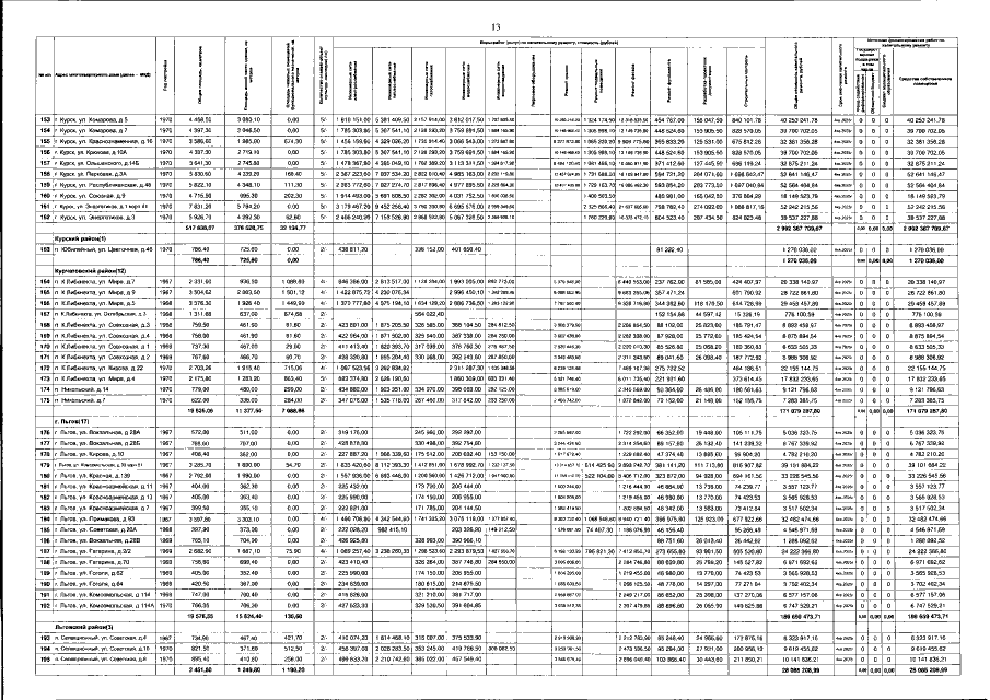
Постановление Администрации Курской области от 08.07.2022 № 767-па
"О внесении изменений в краткосрочный план реализации Региональной программы капитального ремонта общего имущества в многоквартирных домах, расположенных на территории Курской области, на 2023-2025 годы"
"О внесении изменений в краткосрочный план реализации Региональной программы капитального ремонта общего имущества в многоквартирных домах, расположенных на территории Курской области, на 2023-2025 годы"
Номер опубликования: 4600202207140006
Дата опубликования:
14.07.2022
