Официальное опубликование правовых актов
ОФИЦИАЛЬНОЕ ОПУБЛИКОВАНИЕ
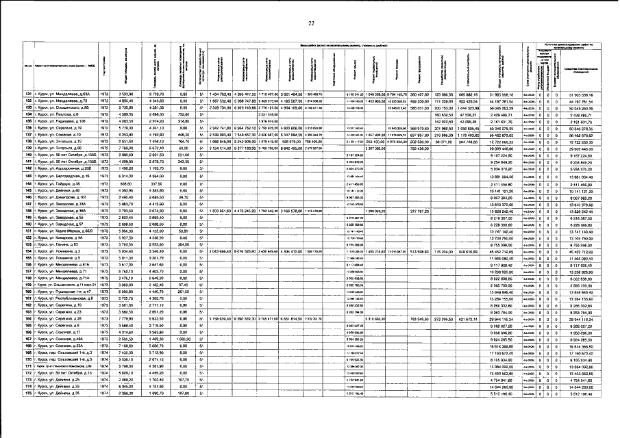
Постановление Администрации Курской области от 18.05.2022 № 566-па
"О внесении изменений в краткосрочный план реализации Региональной программы капитального ремонта общего имущества в многоквартирных домах, расположенных на территории Курской области, на 2023 - 2025 годы"
Номер опубликования: 4600202205200006
Дата опубликования: 20.05.2022
Страница №23 из 27:
Увеличить