Официальное опубликование правовых актов
ОФИЦИАЛЬНОЕ ОПУБЛИКОВАНИЕ
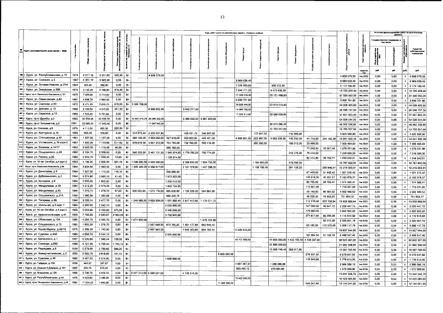
Постановление Администрации Курской области от 18.05.2022 № 565-па
"О внесении изменений в краткосрочный план реализации Региональной программы капитального ремонта общего имущества в многоквартирных домах, расположенных на территории Курской области, на 2020 - 2022 годы"
Номер опубликования: 4600202205200003
Дата опубликования: 20.05.2022
Страница №14 из 30:
Увеличить