Официальное опубликование правовых актов
ОФИЦИАЛЬНОЕ ОПУБЛИКОВАНИЕ
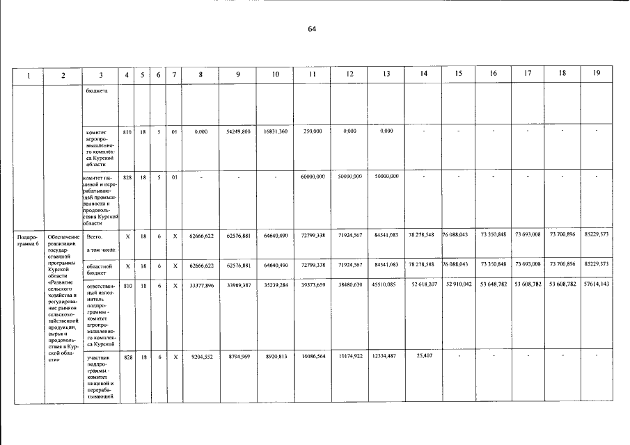
Постановление Администрации Курской области от 28.03.2022 № 301-па
"О внесении изменений в государственную программу Курской области "Развитие сельского хозяйства и регулирование рынков сельскохозяйственной продукции, сырья и продовольствия в Курской области"
Номер опубликования: 4600202204040012
Дата опубликования: 04.04.2022
Страница №66 из 108:
Увеличить