Официальное опубликование правовых актов
ОФИЦИАЛЬНОЕ ОПУБЛИКОВАНИЕ
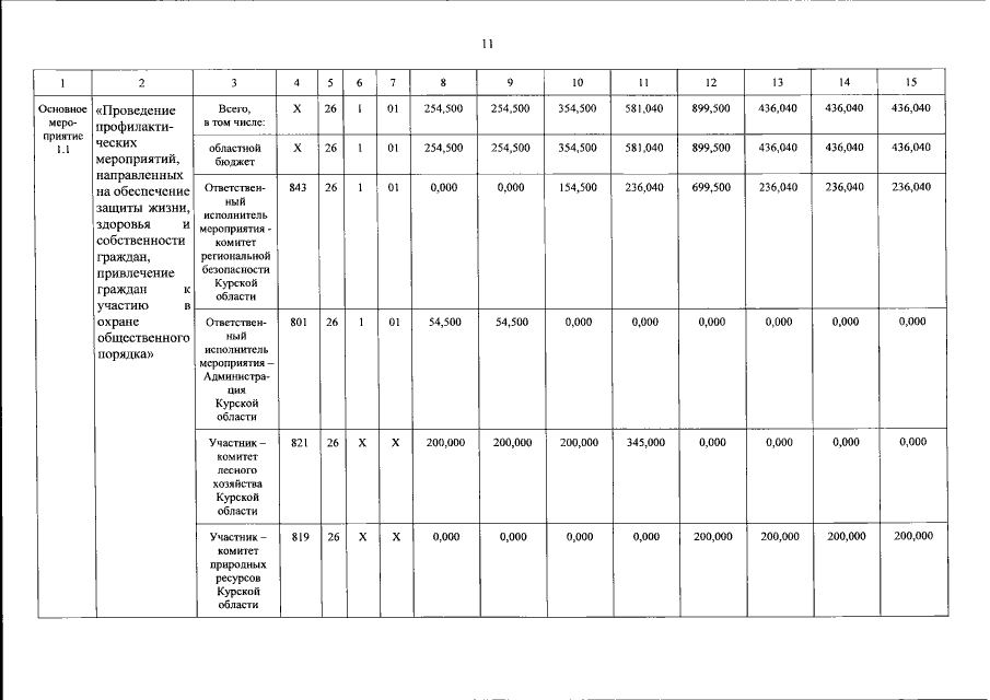
Постановление Администрации Курской области от 31.01.2022 № 73-па
"О внесении изменений в государственную программу Курской области "Профилактика правонарушений в Курской области"
Номер опубликования: 4600202202040005
Дата опубликования: 04.02.2022
Страница №12 из 36:
Увеличить