Официальное опубликование правовых актов
ОФИЦИАЛЬНОЕ ОПУБЛИКОВАНИЕ
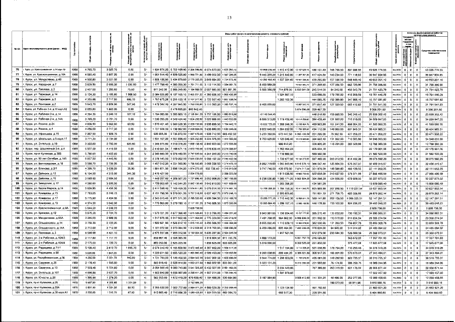
Постановление Администрации Курской области от 21.12.2021 № 1415-па
"Об утверждении краткосрочного плана реализации Региональной программы капитального ремонта общего имущества в многоквартирных домах, расположенных на территории Курской области, на 2023 - 2025 годы"
Номер опубликования: 4600202112270010
Дата опубликования: 27.12.2021
Страница №14 из 27:
Увеличить