Официальное опубликование правовых актов
ОФИЦИАЛЬНОЕ ОПУБЛИКОВАНИЕ
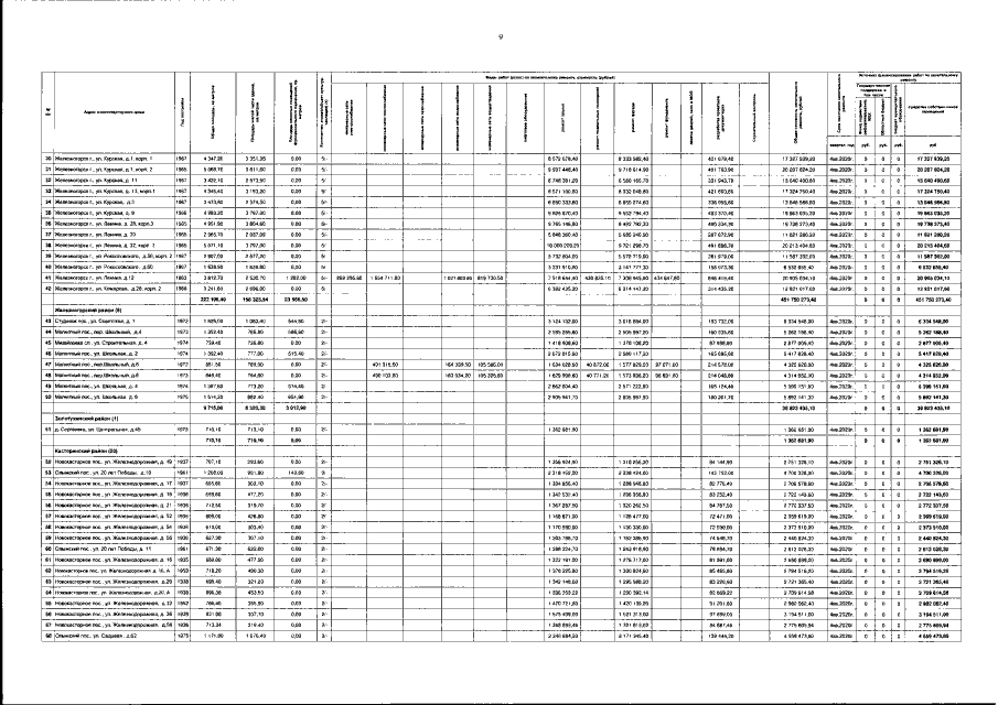
Постановление Администрации Курской области от 17.12.2021 № 1376-па
"О внесении изменений в краткосрочный план реализации Региональной программы капитального ремонта общего имущества в многоквартирных домах, расположенных на территории Курской области, на 2017 - 2019 годы"
Номер опубликования: 4600202112210020
Дата опубликования: 21.12.2021
Страница №10 из 16:
Увеличить