Официальное опубликование правовых актов
ОФИЦИАЛЬНОЕ ОПУБЛИКОВАНИЕ
Постановление Администрации Курской области от 16.12.2021 № 1365-па
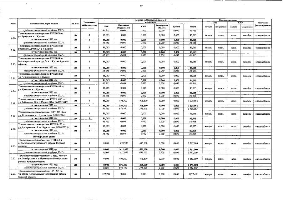
"Об утверждении Программы газификации Курской области на 2022 год, финансируемой за счет средств специальной надбавки к тарифам на транспортировку газа по газораспределительным сетям"
Номер опубликования: 4600202112200010
Дата опубликования: 20.12.2021
Страница №14 из 15:
Увеличить