Официальное опубликование правовых актов
ОФИЦИАЛЬНОЕ ОПУБЛИКОВАНИЕ
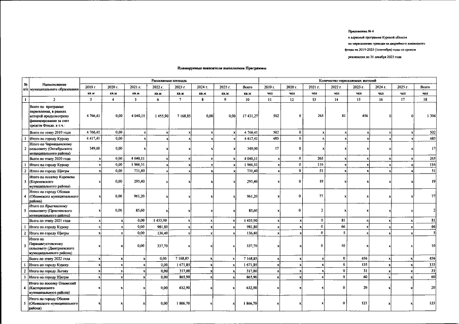
Постановление Администрации Курской области от 09.12.2021 № 1316-па
"О внесении изменений в постановление Администрации Курской области от 29.03.2019 № 259-па"
Номер опубликования: 4600202112140017
Дата опубликования: 14.12.2021
Страница №32 из 39:
Увеличить