Официальное опубликование правовых актов
ОФИЦИАЛЬНОЕ ОПУБЛИКОВАНИЕ
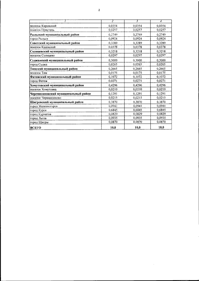
Закон Курской области от 07.12.2021 № 115-ЗКО
"Об областном бюджете на 2022 год и на плановый период 2023 и 2024 годов"
Номер опубликования: 4600202112130007
Дата опубликования: 13.12.2021
Страница №98 из 860:
Увеличить