Официальное опубликование правовых актов
ОФИЦИАЛЬНОЕ ОПУБЛИКОВАНИЕ
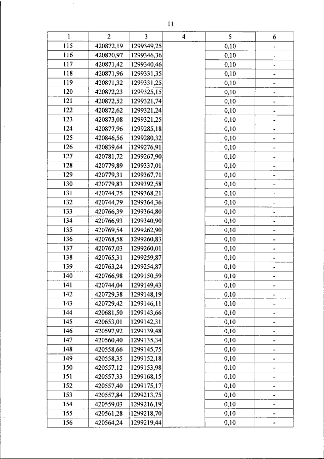
Постановление Администрации Курской области от 25.11.2021 № 1240-па
"Об установлении границ объединенной зоны охраны объектов культурного наследия, расположенных на территории города Курска, и утверждении требований к градостроительным регламентам в границах территорий данной зоны"
Номер опубликования: 4600202112010003
Дата опубликования: 01.12.2021
Страница №15 из 285:
Увеличить