Официальное опубликование правовых актов
ОФИЦИАЛЬНОЕ ОПУБЛИКОВАНИЕ
Постановление Администрации Курской области от 19.11.2021 № 1218-па
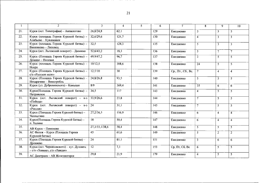
"О внесении изменений в постановление Администрации Курской области от 16.04.2019 № 334-па "Об утверждении комплексного плана транспортного обслуживания населения Курской области на средне- и долгосрочную перспективу (до 2030 года) в части пригородных пассажирских перевозок"
Номер опубликования: 4600202111230005
Дата опубликования: 23.11.2021
Страница №22 из 54:
Увеличить