Официальное опубликование правовых актов
ОФИЦИАЛЬНОЕ ОПУБЛИКОВАНИЕ
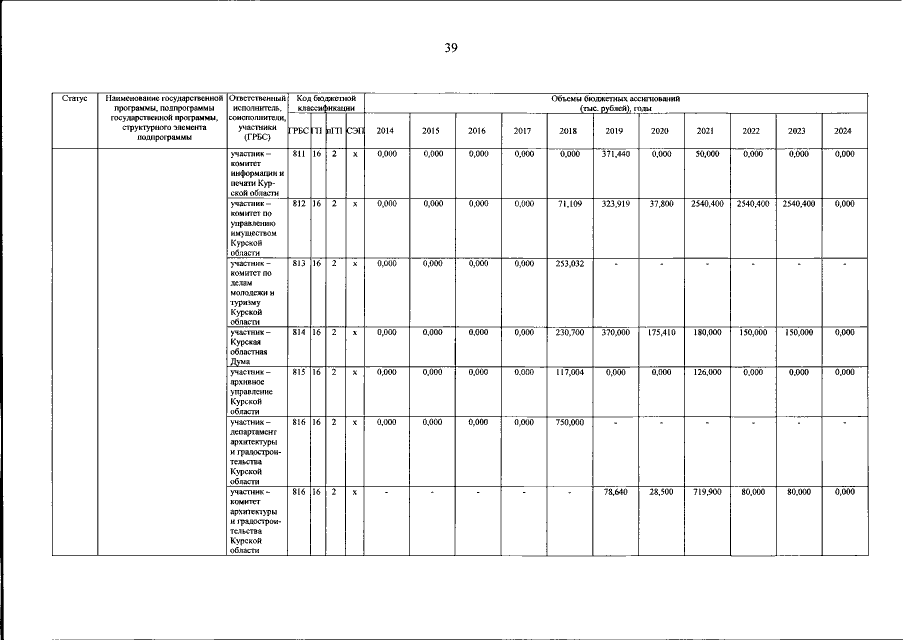
Постановление Администрации Курской области от 29.10.2021 № 1130-па
"О внесении изменений в государственную программ Курской области "Развитие информационного общества в Курской области"
Номер опубликования: 4600202111010004
Дата опубликования: 01.11.2021
Страница №40 из 59:
Увеличить