Официальное опубликование правовых актов
ОФИЦИАЛЬНОЕ ОПУБЛИКОВАНИЕ
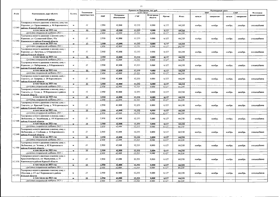
Постановление Администрации Курской области от 22.10.2021 № 1104-па
"О внесении изменений в постановление Администрации Курской области от 16.10.2020 № 1039-па"
Номер опубликования: 4600202110270004
Дата опубликования: 27.10.2021
Страница №16 из 76:
Увеличить