Официальное опубликование правовых актов
ОФИЦИАЛЬНОЕ ОПУБЛИКОВАНИЕ
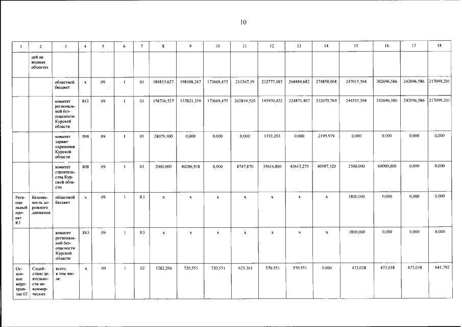
Постановление Администрации Курской области от 18.10.2021 № 1083-па
"О внесении изменений в государственную программу Курской области "Защита населения и территорий от чрезвычайных ситуаций, обеспечение пожарной безопасности и безопасности людей на водных объектах"
Номер опубликования: 4600202110220002
Дата опубликования: 22.10.2021
Страница №11 из 40:
Увеличить