Официальное опубликование правовых актов
ОФИЦИАЛЬНОЕ ОПУБЛИКОВАНИЕ
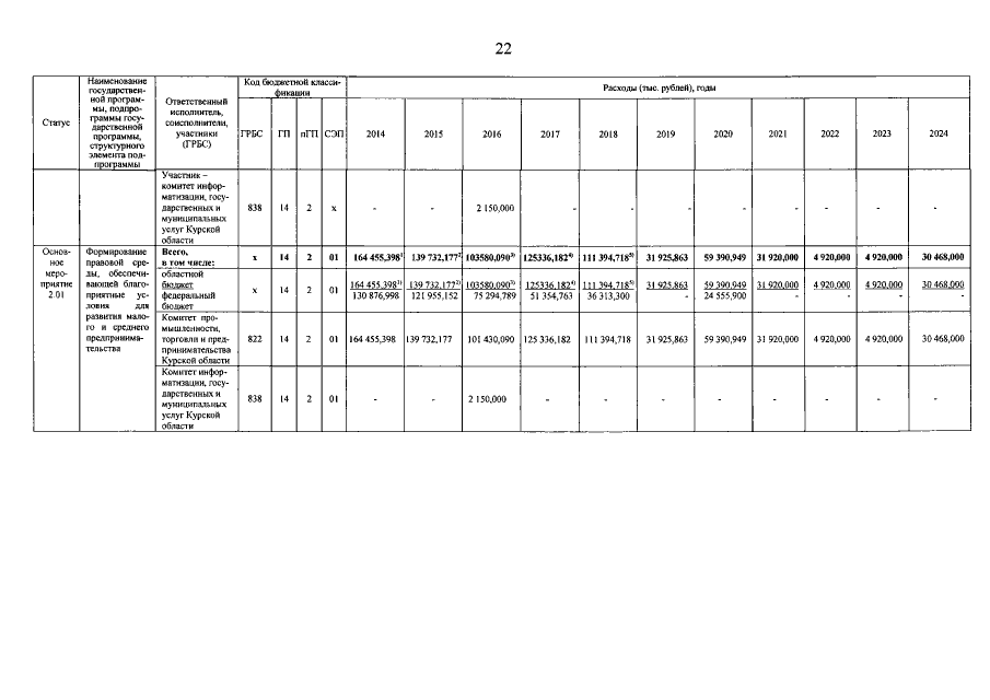
Постановление Администрации Курской области от 07.10.2021 № 1063-па
"О внесении изменений в государственную программу Курской области "Развитие экономики и внешних связей Курской области"
Номер опубликования: 4600202110110004
Дата опубликования: 11.10.2021
Страница №23 из 110:
Увеличить