Официальное опубликование правовых актов
ОФИЦИАЛЬНОЕ ОПУБЛИКОВАНИЕ
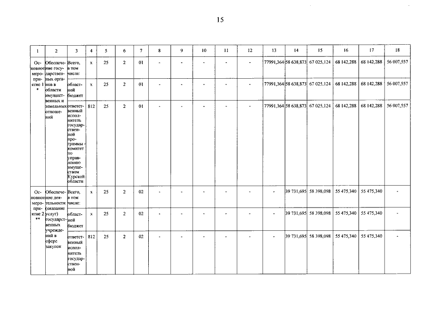
Постановление Администрации Курской области от 07.10.2021 № 1059-па
"О внесении изменений в государственную программу Курской области "Управление государственным имуществом Курской области"
Номер опубликования: 4600202110080001
Дата опубликования: 08.10.2021
Страница №16 из 20:
Увеличить