Официальное опубликование правовых актов
ОФИЦИАЛЬНОЕ ОПУБЛИКОВАНИЕ
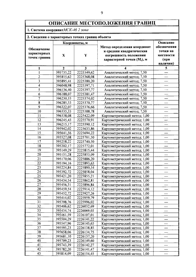
Постановление Губернатора Курской области от 29.09.2021 № 434-пг
"Об установлении охранной зоны памятника природы регионального значения "Балка Сурки"
Номер опубликования: 4600202110040016
Дата опубликования: 04.10.2021
Страница №13 из 20:
Увеличить