Официальное опубликование правовых актов
ОФИЦИАЛЬНОЕ ОПУБЛИКОВАНИЕ
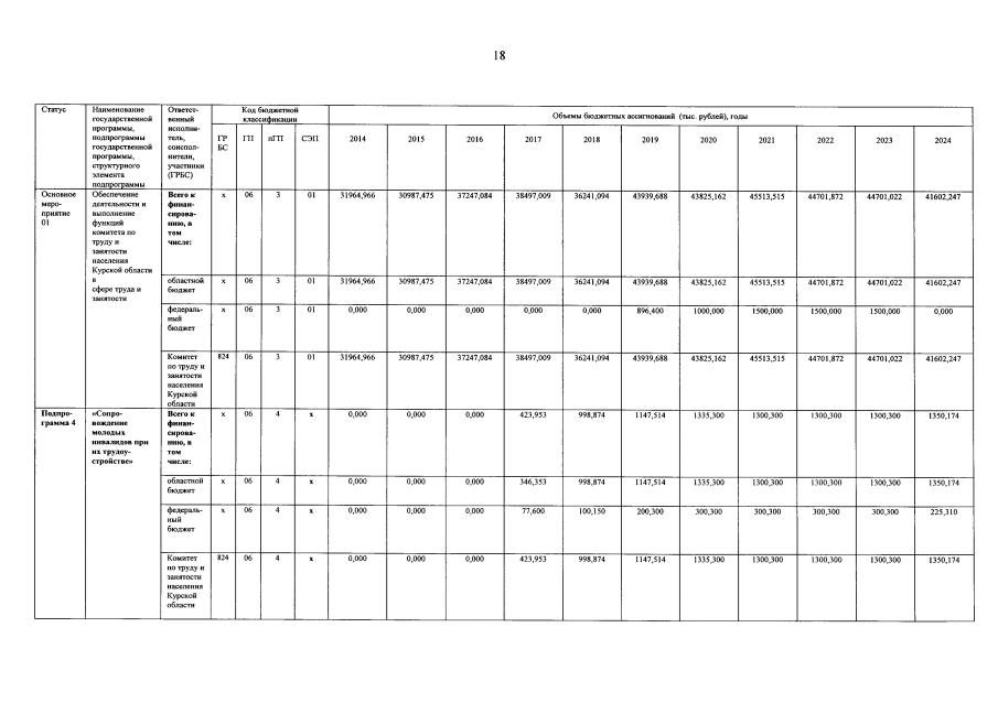
Постановление Администрации Курской области от 23.09.2021 № 992-па
"О внесении изменений в государственную программу Курской области "Содействие занятости населения в Курской области"
Номер опубликования: 4600202109240011
Дата опубликования: 24.09.2021
Страница №19 из 26:
Увеличить