Официальное опубликование правовых актов
ОФИЦИАЛЬНОЕ ОПУБЛИКОВАНИЕ
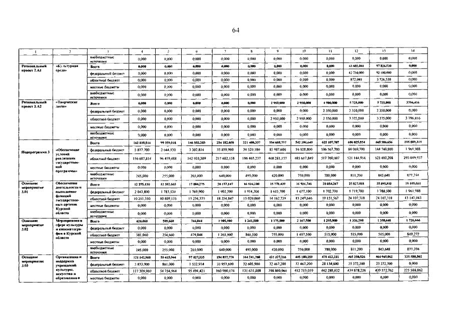
Постановление Администрации Курской области от 25.08.2021 № 895-па
"О внесении изменений в государственную программу Курской области "Развитие культуры в Курской области"
Номер опубликования: 4600202108310005
Дата опубликования: 31.08.2021
Страница №65 из 75:
Увеличить