Официальное опубликование правовых актов
ОФИЦИАЛЬНОЕ ОПУБЛИКОВАНИЕ
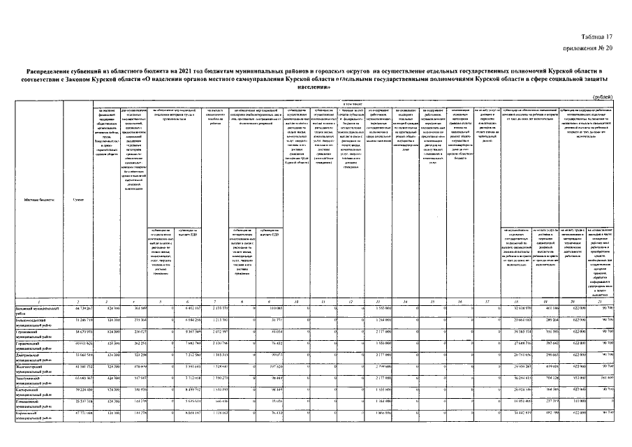
Закон Курской области от 16.08.2021 № 60-ЗКО
"О внесении изменений в Закон Курской области "Об областном бюджете на 2021 год и на плановый период 2022 и 2023 годов"
Номер опубликования: 4600202108190005
Дата опубликования: 19.08.2021
Страница №721 из 744:
Увеличить