Официальное опубликование правовых актов
ОФИЦИАЛЬНОЕ ОПУБЛИКОВАНИЕ
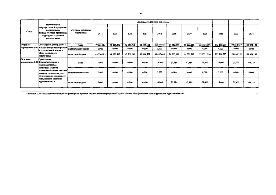
Постановление Администрации Курской области от 12.08.2021 № 839-па
"О внесении изменений в государственную программу Курской области "Социальная поддержка граждан в Курской области"
Номер опубликования: 4600202108180002
Дата опубликования: 18.08.2021
Страница №91 из 91:
Увеличить