Официальное опубликование правовых актов
ОФИЦИАЛЬНОЕ ОПУБЛИКОВАНИЕ
Постановление Администрации Курской области от 12.08.2021 № 841-па
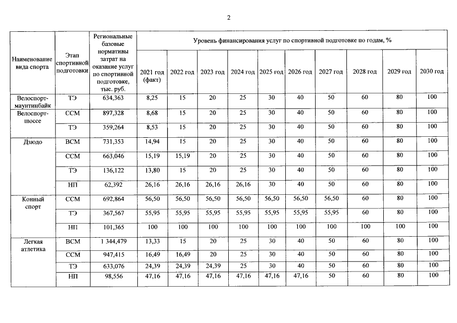
"Об утверждении Дорожной карты по приведению уровня финансирования государственных услуг по спортивной подготовке к 2030 году в соответствие с требованиями федеральных стандартов спортивной подготовки"
Номер опубликования: 4600202108160006
Дата опубликования: 16.08.2021
Страница №3 из 7:
Увеличить