Официальное опубликование правовых актов
ОФИЦИАЛЬНОЕ ОПУБЛИКОВАНИЕ
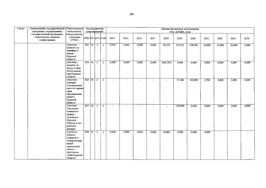
Постановление Администрации Курской области от 04.08.2021 № 808-па
"О внесении изменений в государственную программу Курской области "Развитие информационного общества в Курской области"
Номер опубликования: 4600202108060001
Дата опубликования: 06.08.2021
Страница №45 из 62:
Увеличить