Официальное опубликование правовых актов
ОФИЦИАЛЬНОЕ ОПУБЛИКОВАНИЕ
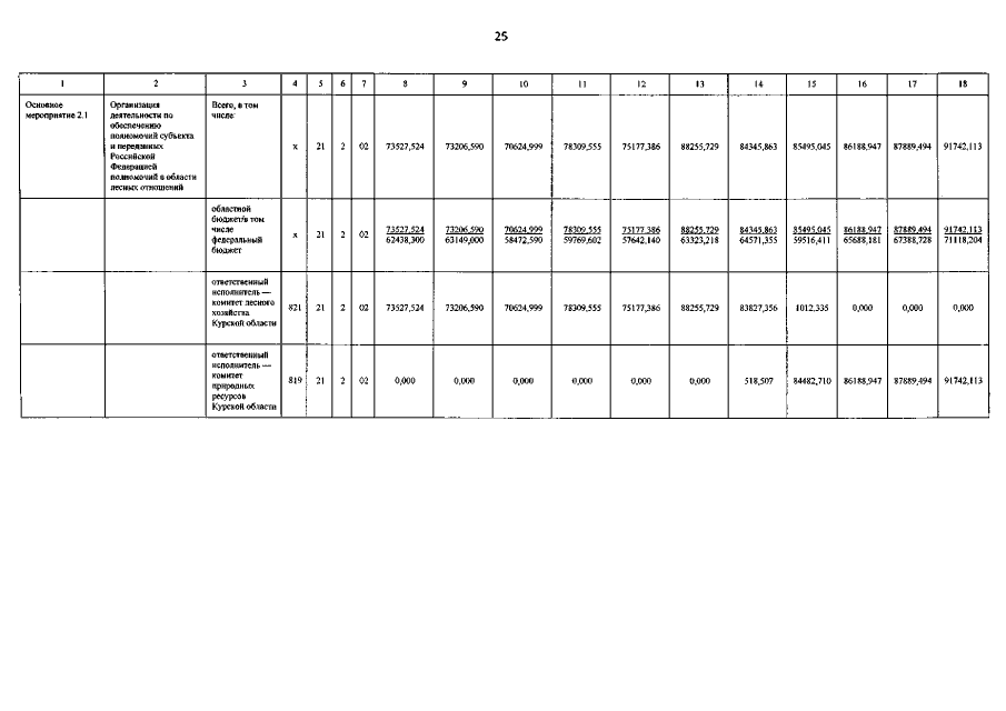
Постановление Администрации Курской области от 20.07.2021 № 757-па
"О внесении изменений в государственную программу Курской области "Развитие лесного хозяйства в Курской области"
Номер опубликования: 4600202107230007
Дата опубликования: 23.07.2021
Страница №26 из 32:
Увеличить