Официальное опубликование правовых актов
ОФИЦИАЛЬНОЕ ОПУБЛИКОВАНИЕ
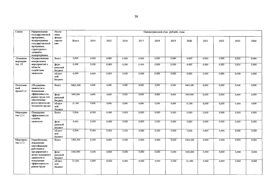
Постановление Администрации Курской области от 09.07.2021 № 707-па
"О внесении изменений в государственную программу Курской области "Содействие занятости населения в Курской области"
Номер опубликования: 4600202107130001
Дата опубликования: 13.07.2021
Страница №31 из 34:
Увеличить