Официальное опубликование правовых актов
ОФИЦИАЛЬНОЕ ОПУБЛИКОВАНИЕ
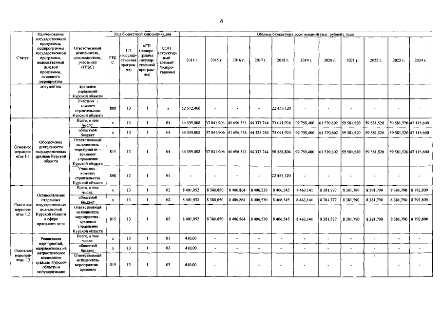
Постановление Администрации Курской области от 06.07.2021 № 696-па
"О внесении изменений в государственную программу Курской области "Развитие архивного дела в Курской области"
Номер опубликования: 4600202107080005
Дата опубликования: 08.07.2021
Страница №5 из 18:
Увеличить