Официальное опубликование правовых актов
ОФИЦИАЛЬНОЕ ОПУБЛИКОВАНИЕ
Распоряжение Губернатора Курской области от 29.06.2021 № 201-рг
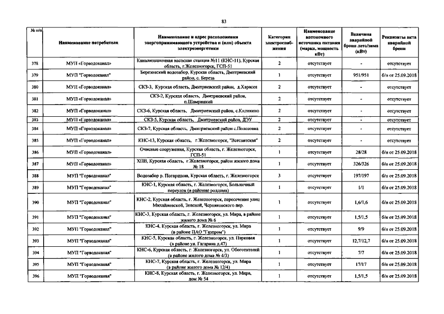
"Об утверждении Перечня потребителей электрической энергии, ограничение режима потребления электроэнергии которых может привести к экономическим, экологическим или социальным последствиям на территории Курской области, на 2021-2022 годы"
Номер опубликования: 4600202107020010
Дата опубликования: 02.07.2021
Страница №84 из 172:
Увеличить