Официальное опубликование правовых актов
ОФИЦИАЛЬНОЕ ОПУБЛИКОВАНИЕ
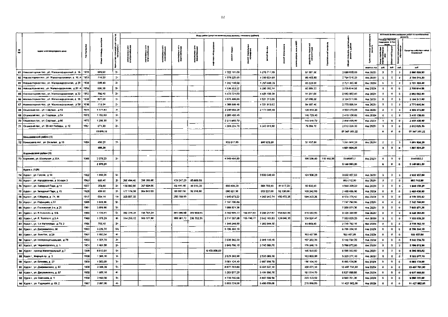
Постановление Администрации Курской области от 02.06.2021 № 583-па
"О внесении изменений в краткосрочный план реализации Региональной программы капитального ремонта общего имущества в многоквартирных домах, расположенных на территории Курской области, на 2017 - 2019 годы"
Номер опубликования: 4600202106070008
Дата опубликования: 07.06.2021
Страница №12 из 18:
Увеличить