Официальное опубликование правовых актов
ОФИЦИАЛЬНОЕ ОПУБЛИКОВАНИЕ
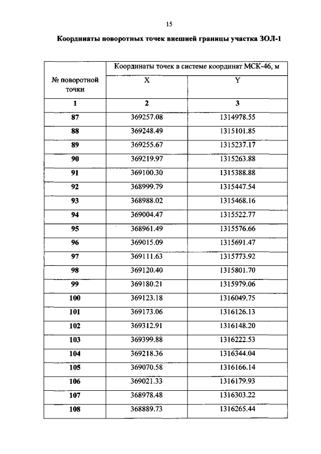
Постановление Администрации Курской области от 17.05.2021 № 506-па
"Об установлении зон охраны объекта культурного наследия регионального значения "Здание водяной мельницы", первая половина ХVIII — начало ХХ вв., расположенного по адресу: Курская область, Пристенский район, с. Красниково, и утверждении требований к градостроительным регламентам в границах территорий данных зон"
Номер опубликования: 4600202105210004
Дата опубликования: 21.05.2021
Страница №17 из 32:
Увеличить