Официальное опубликование правовых актов
ОФИЦИАЛЬНОЕ ОПУБЛИКОВАНИЕ
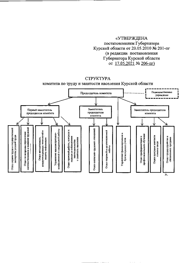
Постановление Губернатора Курской области от 17.05.2021 № 206-пг
"О внесении изменений в постановление Губернатора Курской области от 20.05.2010 № 201-пг "О комитете по труду и занятости населения Курской области"
Номер опубликования: 4600202105190004
Дата опубликования: 19.05.2021
Страница №3 из 3:
Увеличить