Официальное опубликование правовых актов
ОФИЦИАЛЬНОЕ ОПУБЛИКОВАНИЕ
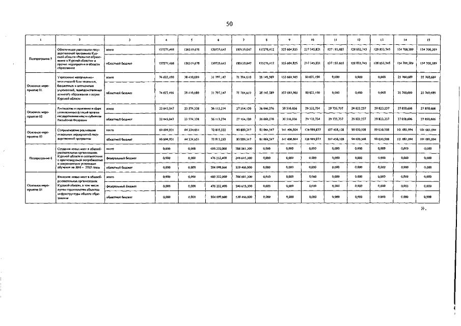
Постановление Администрации Курской области от 30.04.2021 № 459-па
"О внесении изменений в государственную программу Курской области "Развитие образования в Курской области"
Номер опубликования: 4600202105040002
Дата опубликования: 04.05.2021
Страница №51 из 57:
Увеличить